Skip to main content

Back in May, speculators were betting against the Canadian dollar in record fashion. Since then, the loonie has surged against the U.S. dollar.

Now, speculators are back to feeling bullish about the loonie. Is that a sign of lower returns to come?

We looked at Canadian dollar performance after large bull positions – specifically, the five previous annual highs with a net long position of greater than 40,000 contracts. The current position is a net long of nearly 41,000 contracts.

In all cases, the loonie had fallen against its U.S. peer after 50 trading days, though in one instance, just barely. Moreover, the moves were not always immediately lower.

Loonie performance vs. U.S. dollar

March 23, 2010

Start date:

Oct. 13, 2009

Jan. 15, 2013

March 8, 2011

Sept. 18, 2012

3%

2

1

0

-1

-2

-3

-4

-5

-6

0

9

18

27

36

45

Trading days

THE GLOBE AND MAIL, SOURCE: BLOOMBERG

Loonie performance vs. U.S. dollar

March 23, 2010

Start date:

Oct. 13, 2009

Jan. 15, 2013

March 8, 2011

Sept. 18, 2012

3%

2

1

0

-1

-2

-3

-4

-5

-6

0

9

18

27

36

45

Trading days

THE GLOBE AND MAIL, SOURCE: BLOOMBERG

Loonie performance vs. U.S. dollar

Start date:

Jan. 15, 2013

Sept. 18, 2012

March 8, 2011

March 23, 2010

Oct. 13, 2009

3%

2

1

0

-0.07%

-1

-2.05%

-2

-2.41%

-3

-3.13%

-3.72%

-4

-5

-6

0

9

18

27

36

45

Trading days

THE GLOBE AND MAIL, SOURCE: BLOOMBERG

On the flip side, Scotiabank strategists in May looked at U.S. dollar performance after extreme net short positions on the loonie. They found the greenback "does tend to weaken" in the following weeks, but "the performance is patchy."

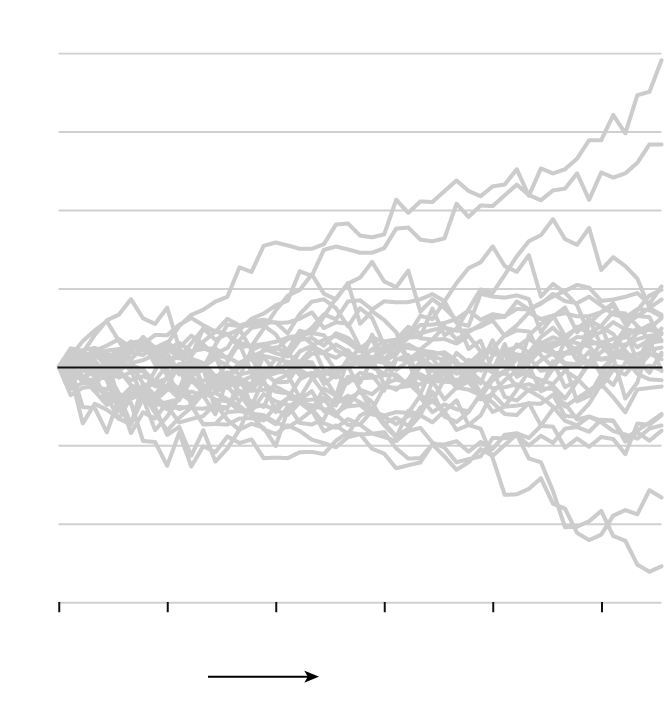
Returns, however, are decidedly mixed when you look at performance after similar net positions.

For this next chart, we looked at loonie performance after the net position was within 5,000 contracts, plus or minus, of the current reading. Over the past decade, the speculative position has fallen within this range on 30 occasions.

Loonie performance vs. U.S. dollar

16%

12

8

4

0

-4

-8

-12

0

9

18

27

36

45

Trading days

THE GLOBE AND MAIL, SOURCE: BLOOMBERG

Loonie performance vs. U.S. dollar

16%

12

8

4

0

-4

-8

-12

0

9

18

27

36

45

Trading days

THE GLOBE AND MAIL, SOURCE: BLOOMBERG

Loonie performance vs. U.S. dollar

16%

12

8

4

0

-4

-8

-12

0

9

18

27

36

45

Trading days

THE GLOBE AND MAIL, SOURCE: BLOOMBERG

This time around, the returns run amok, casting a range of roughly 26 percentage points. The median return after 50 trading days was a 1.3-per-cent gain.

Past returns would suggest speculative position alone is a poor indicator of future loonie performance – except, perhaps, in cases of extreme exuberance or pessimism.

Even then, context is key. Consider the loonie's performance after a large net bear position in January of last year. The loonie surged, but no doubt it was buoyed by a sharp climb in crude prices, as the Scotiabank analysts pointed out.

Speculation aside, there are some reasons to suggest a pullback is in store.

David Rosenberg, chief economist at Gluskin Sheff + Associates, wrote Tuesday in The Globe that the loonie "overshot" from its low point in early May "and is now on its way to correcting back toward 76.92 cents," which he described as a "neutral setting for the dollar." The loonie finished Tuesday at about 79 cents (U.S.).

Macquarie strategist David Doyle pegs the U.S. dollar to end 2018 at $1.43 (Canadian), which would be a significant strengthening from its current level around $1.27. Mr. Doyle anticipates the Bank of Canada will hike interest rates once more before turning "more dovish as headwinds from housing become more apparent," according to a research note.

Mr. Doyle's forecast would put the loonie at just below 70 cents by the end of next year, while others see it much stronger.